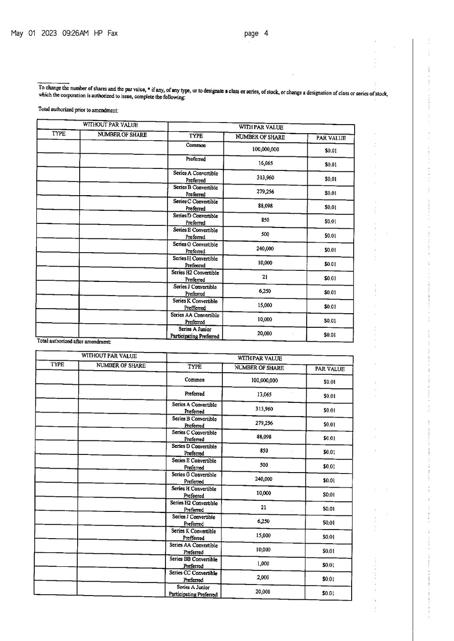
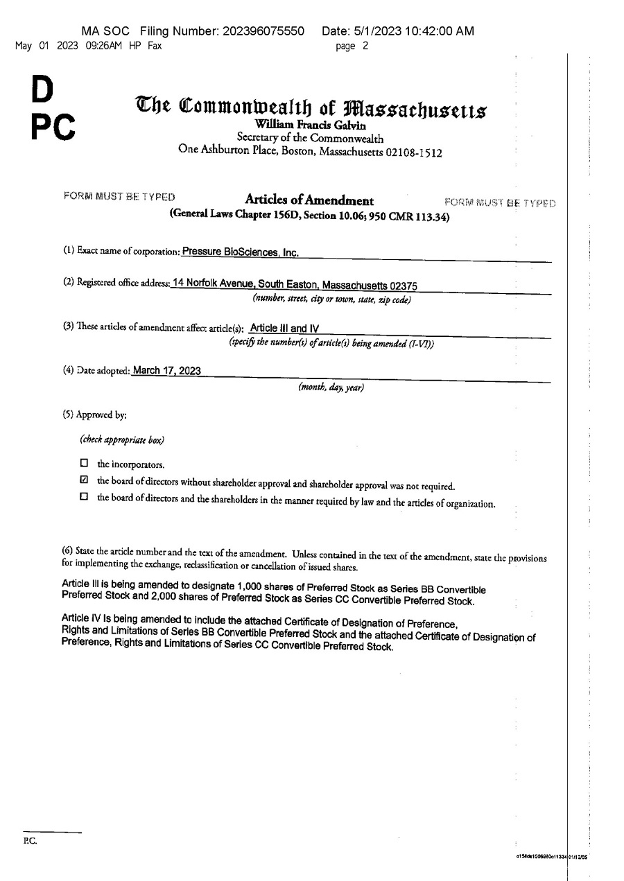
Exhibit 3.1